Mussel breeding
Genetics

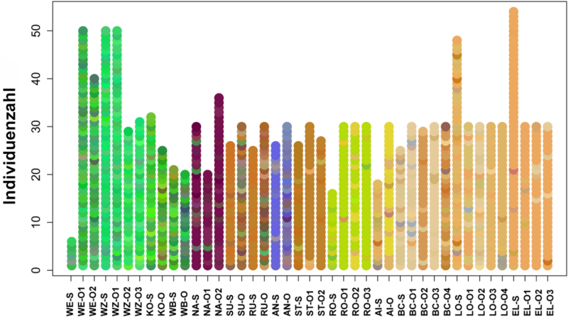
Genetic diversity (displayed by different colors) and genetic integrity within single populations (displayed by similar colors within populations) needs to be preserved in mussel propagation programmes. The figure is based on a principal component analysis (DAPC), similar colors display similar genetic constitution (Geist et al. 2021).
A central aspect of rejuvenating mussel stocks by releasing bred juvenile mussels back into the wild is ensuring that genetic diversity is preserved. Small isolated populations are less resistant to pathogens and find it more difficult to adapt to changing environmental conditions. In the long-term, these mechanisms can lead to subpopulations dying out. The selection of suitable stocks and the avoidance of inbreeding is crucial for release and conservation strategies and makes a decisive contribution to the long-term preservation of mussel stocks. In addition, there is an evolutionary interaction between the freshwater pearl mussel and its host fish, the brown trout. This evolutionary interaction corresponds to a host-parasite interaction and is reflected in the comparable genetic population structures of the freshwater pearl mussel and the brown trout.
The aim of the genetic analysis is to design the breeding programme so that the fitness of the populations with their regional adaptations in preserved.
After looking at so-called microsatellites, parts of the DNA that are not subject to selection and are therefore "selectively neutral", the following sub-goals were determined:
- In the breeding programmes, the genetic integrity and diversity and therefore the fitness of the freshwater pearl mussels based on an individual selection of adult breeding animals, as well as the continuous genetic validation of the juvenile mussels, is ensured.
- The genetic integrity of the brown trout populations (Salmo trutta) is checked to then integrate the local genetic lines into the freshwater pearl mussel breeding. That is to say: only local brown trout stocks should be used for the pearl mussel breeding.
Here, the accompaniment and validation of the breeding programme with genetic analyses of the freshwater pearl mussels and brown trout, as well as the monitoring of the mussels released into the target waters, is crucial. For the documentation and long-term traceability of the breeding efforts, breeding books will be created for the breeding station and they will continue to be used even after the project has come to an end. The parent animals used will be genetically characterised so that individuals with a high level of genetic diversity and/or a unique genetic composition can be consciously introduced into the breeding programme. This will help to prevent very genetically similar mussels from being bred and therefore avoid the genetic impoverishment of the bred population over time. The breeding books will be established over the course of the project as part of a collaboration between the Technical University of Munich and the breeding stations and they will be integrated into the practical breeding. By continuing to use the breeding books, the breeding stations can use the knowledge gained about the suitability of the breeding animals after the project has ended in order to preserve genetic diversity.
